2025专转本学校和专业公布了
上了普高不努力学,
等去了大专再想往上走,
越来越艰难了,
公办本科几乎都不收了……
所以如果初中全靠补课上的高中,
3加4那种本地学校的公办本科也是奢望了吧?
职教高考全省那么多学校和人生,才招那么点人,就那么几个公办本科……
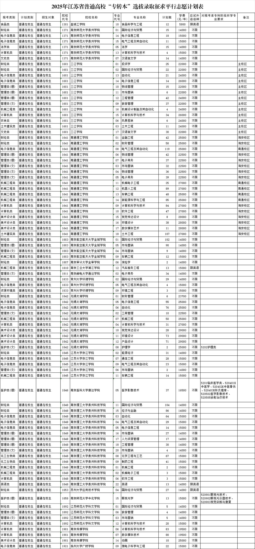
最后一张补录征求志愿的人数和学校,
看看数据就知道了,
大力宣传的职教高考录取率高,并没有想的那么容易,能考上的,在同龄人里也是菜鸟中的学霸哇





等去了大专再想往上走,
越来越艰难了,
公办本科几乎都不收了……
所以如果初中全靠补课上的高中,
3加4那种本地学校的公办本科也是奢望了吧?
职教高考全省那么多学校和人生,才招那么点人,就那么几个公办本科……
最后一张补录征求志愿的人数和学校,
看看数据就知道了,
大力宣传的职教高考录取率高,并没有想的那么容易,能考上的,在同龄人里也是菜鸟中的学霸哇

































