夜间模式
  • 21350阅读
  • 11回复

[百姓话题]挂拍公告 | 朝阳荟生活广场等一批住宅、车库即将开拍 [复制链接]

上一主题 下一主题
发帖
816
昆币
15479 枚
只看楼主 使用道具 电梯直达
楼主  发表于: 06-14 , 来自:江苏省0==


昆山市国有资产数字化交易云平台

http://[url][urlend6])


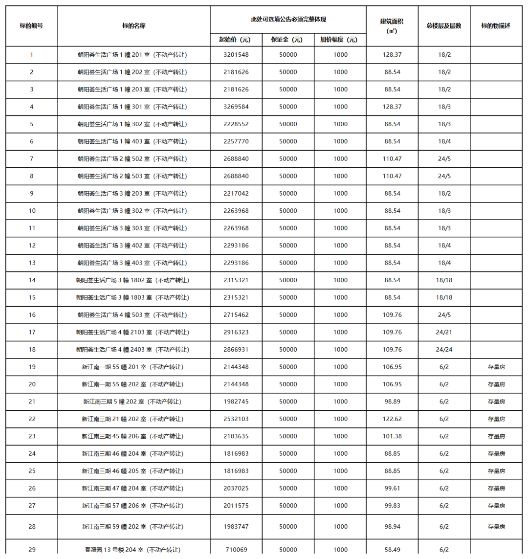
受托对昆山市康居新江南、朝阳荟生活广场、春漪园、棕榈泉山庄项目部分房源(含29套住宅及28套储藏室/车库)进行公开挂牌竞价。现将相关内容公告如下:


注:公告及竞价期间,此竞价入口为唯一指定入口!通过其他竞价平台报名或参与竞价均视为无效操作。


一 时间安排


住宅类房产

公告周期

2025年6月11日-7月10日

竞标时间

2025年7月11日10:00-7月12日10:00

(延时除外)


储藏室 / 车库类资产

公告周期

2025年6月11日-6月26日

报名截止日期

2025年6月26日10:00

竞标时间

2025年6月27日10:00-6月28日10:00

(延时除外)


二 标的物详情



(一)住宅类房产


(二)储藏室 / 车库类资产


三 报名方式


有意竞买者,请于报名截止时间前,按照以下方式完成报名:


1.登录昆山市国有资产数字化交易云平台()。

2.竞买前在淘宝网和支付宝上进行实名登记注册(或使用已有实名账号)。

3.在平台中搜索本次标的物名称,仔细阅读竞买公告及须知,确认参与竞拍的标的物。

4.按照系统提示缴纳竞买保证金,完成报名流程。


四 竞拍须知


(一)应具备的资格条件

1.竞拍项目为住宅(土地使用权类型为出让)

竞买人参与竞买的,应当事先确定在本市具有购房资格,必要时可致电本市房地产交易服务热线具体咨询限购政策。拍卖成交确认后,因买受人无购房资格的,将依法承担悔拍等法律后果。

(1) 中华人民共和国境内的法人、自然人和其他组织(除法律另有规定者外),均可申请参加竞买。竞买人必须开设淘宝账户并使用本人或本单位淘宝帐户竞买,产证只能办理在竞得人名下。(以公司名义办理产证,需用公司单位淘宝账户及支付宝账号购买)。

(2) 竞买人须为法人企业或具有完全民事行为能力的自然人,承诺交易资金来源合法。竞买人是法人、自然人和其他组织的(未被法院列入失信被执行人名单或涉及任何重大未决诉讼),应具有良好的财务状况、支付能力和商业信誉,最近3年经营中,无不良记录,无严重违约行为。竞买人是自然人的,还应具有完全民事行为能力,符合国家法律法规规定的其他条件。


2.竞拍项目为储藏室/车库(类型为出让)

本次竞买人应无司法部门不良记录,具备良好的商业信誉和履约能力。

1.资格审查:本次竞价需要对竞买人进行资格预审,资格预审合格的竞买人才能参与竞价。

2.请竞买人按资格条件规定提供以下资料:

(1)竞买人的身份证原件照片

(2)储藏室/车库所在小区的房产证原件扫描件


(二)咨询、看样时间与方式

1.咨询时间:自竞买公告发布之日起(节假日除外)上午 9:00-11:30,下午 13:00-17:00。

2.看样时间:报名截止日期前,竞买人可与联系人联系或自行前往现场看样。

3.看样联系人:苏女士(15006143966)


注:

1.竞买人在竞价前,应对标的物进行实地看样。仔细查看标的物,查阅有关资料,了解标的物的瑕疵情况,凭借自身经验判断标的物的真伪、品质和价值。

2.标的物成交后买受人悔拍的,交纳的保证金不予返还,依次用于支付本次网上竞价活动产生的费用和损失。委托人有权对标的物重新组织网上竞价,原买受人不得参加竞价。


五 竞价方式


1.本次竞价采用增价拍卖的方式,不设置保留价。

2.竞价活动设置延时出价功能,在竞价活动结束前,5分钟内无人出价的,最后出价即为成交价,有出价的,竞价时间自该出价时点顺延5分钟。


注:

1.平台软件服务费

标的物竞价成交后,平台会生成一笔待支付的软件服务费,该费用由买受人承担。具体费用标准详见“淘宝帮助中心”。

2.综合服务费

买受人除支付阿里拍卖平台软件服务费外,还须承担综合服务费。综合服务费按系统成交总价*1%(金额按整数向上取整)收取,详情见平台内竞买规则。



六 特别提醒


1.本次竞价活动的标的物以现房现状为准。

2.竞买人在竞价前务必做好尽职调查,了解并掌握标的物所在地的购房限购政策和贷款政策,并自行向相关部门了解转让标的实际情况,自行判断是否符合受让本项目资格条件。因不符合资格条件参加竞价的或竞价完成后到房屋过户结束前若因相关的限购、限贷等政策出台导致成交标的物无法办理交割手续的,由竞买人自行承担相应的法律责任,并自行承担由此产生的全部责任及后果,包括但不限于费用、风险和损失。

3.标的过户涉及的税费由买卖双方按相关规定各自承担,未有明确规定的,由买受人承担。

4.买受人按照《昆山市商品房购销合同》的约定付清购房款、交易服务费等所有款项后,委托人方能协助买受人办理转让标的变更登记等手续。

5.拍卖标的以现状进行拍卖,其外观、结构、固定装修及内在质量以移交时的现状为准。拍卖人对房屋外观、质量问题、结构调整、固定装修损坏、房地产面积差异等不作担保,由买受人自行承担相关责任,由此产生的问题也不影响拍卖成交结果及成交价格。

6.本次竞拍的房产是以现状转让并交付给买受人,水、电、气、物业等相关费用由委托人当场结清,买受人不得以不了解上述房产为由拒绝按现状接受。

7.转让标的房屋所有权证、土地使用权证或不动产登记证登记面积若与实际测量面积出现误差,以房屋所有权证、土地使用权证或不动产登记证记载为准,委托人和买受人双方不再另行结算。

8.成交后,若因国家政策调整或不可抗力因素导致转让标的不能正常办理变更登记手续的,委托人、买受人双方解除合同,买受人支付的交易价款全额退还,该交易价款不计息。

9.住宅类房产拍卖标的物的付款方式允许银行商业贷款,不接受公积金贷款。竞买人如有银行贷款需求,竞买人是否符合贷款条件等问题请竞买人自行咨询银行。

10.委托人保证本次转让标的房产权证清晰,无抵押及其他债务纠纷。

11.房屋现状:该房屋目前为空置状态,本次房产为整体出让。房屋实际情况请亲临现场看样为准。未看样的竞买人视为对本标的实物现状的确认,责任自负。买受人不得以过户困难、瑕疵等任何理由要求延迟付款或撤销交易,否则买受人承担违约责任。

12.本次竞价活动货币为人民币,竞价的起拍价及成交价为房产交易价格,不含服务费、买方税费等其他费用。标的物交割手续由买受人与委托人共同办理。

13.本《竞买公告》中的未尽事宜,请详见《竞买须知》。

14.特别提示:标的物具体情况可向委托人咨询了解,委托人对标的状态不作出任何承诺或保证。竞买人一旦作出竞买决定,即表明竞买人自愿承担受让该标的可能承受的一切风险以及由该等风险所造成的一切损失或无法实现的预期利益。


如有任何疑问,可联系交易服务机构

联系电话:15006143966 联系人:苏女士

(上午9:00-11:30,下午13:00-17:00

节假日除外)


淘宝技术咨询:400-822-2870

(9:00-21:00人工在线)


来源:城投地产life


本帖评分记录
福至心领 昆币 +1 -来自昆山论坛APP 07-24
wujun101 昆币 +1 -来自昆山论坛APP 06-16
拆南墙 昆币 +1 -来自昆山论坛APP 06-16
苏亚雷斯 昆币 +1 -来自昆山论坛APP 06-15
金箭小鲍 昆币 +1 -来自昆山论坛APP 06-15
阿炳来了 昆币 +1 -来自昆山论坛APP 06-15
秋天的天空 昆币 +1 -来自昆山论坛APP 06-14
李钧炜 昆币 +1 -来自昆山论坛APP 06-14
恩其 昆币 +1 -来自昆山论坛APP 06-14
123abc交通 昆币 +1 -来自昆山论坛APP 06-14
12
13条评分昆币+13
爆料有奖!关注昆山论坛抖音号,抖音搜索“昆山论坛”,或搜索抖音号:ksbbs
 
帅哥离线毛毛1234577
发帖
10490
昆币
18703 枚
沙发  发表于: 06-14 , 来自:江苏省0==
这价估计流拍,为什么不进入以旧换新昵
楼中楼
  • 2025-06-14 11:19 回不去: 怎么换?左手换右手吗?
本帖评分记录
梦袭清风 昆币 +1 -来自昆山论坛APP 09-30
不知道名字 昆币 +1 -来自昆山论坛APP 06-16
南变 昆币 +1 怎么换?左手换右手吗? 06-14
3条评分昆币+3
爆料有奖!关注昆山论坛抖音号,抖音搜索“昆山论坛”,或搜索抖音号:ksbbs
 
帅哥离线sinicon
发帖
14995
昆币
24649 枚
板凳  发表于: 06-14 , 来自:江苏省0==
定价这么高就是不想拍出去是吧
本帖评分记录
不知道名字 昆币 +1 -来自昆山论坛APP 06-16
woshiabc 昆币 +1 -来自昆山论坛APP 06-16
baofei202 昆币 +1 -来自昆山论坛APP 06-15
3条评分昆币+3
爆料有奖!关注昆山论坛抖音号,抖音搜索“昆山论坛”,或搜索抖音号:ksbbs
 
美女离线企退居民
级别: 昆山名人
发帖
32894
昆币
64568 枚
地板  发表于: 06-14 , 来自:江苏省0==
高价位好出货时光过了,现在时可惜了
本帖评分记录
123abc交通 昆币 +1 -来自昆山论坛APP 06-14
1条评分昆币+1
爆料有奖!关注昆山论坛抖音号,抖音搜索“昆山论坛”,或搜索抖音号:ksbbs
 
帅哥在线锁芯

发帖
5304
昆币
15457 枚
4楼 发表于: 06-14 , 来自:江苏省0==
定价这么高就是为了流拍吧!然后再以半价自己拍下来?
楼中楼
  • 2025-06-14 15:36 123abc交通: 不能定价低了,不然就是国有资产流失
  • 2025-06-14 21:53 用户名违规16: 不是的,一次拍卖流拍后可以降价再拍的,国有资产流失不是这么定义的~
  • 2025-06-14 22:18 锁芯: 你不知道第一次流拍 二次竞拍打半折吗?
本帖评分记录
不知道名字 昆币 +1 -来自昆山论坛APP 06-16
1条评分昆币+1
爆料有奖!关注昆山论坛抖音号,抖音搜索“昆山论坛”,或搜索抖音号:ksbbs
 
帅哥离线堕落文人
发帖
561
昆币
827 枚
5楼 发表于: 06-14 , 来自:江苏省0==
这么好地段的房子现在都空了这么多没人买嘛?
楼中楼
  • 2025-06-14 17:29 恐怖骑士: 一般都是他们内部的房子。现在手头没钱了拿出来卖的
  • 2025-06-16 09:28 leedoo: 可能内部房源
  • 2025-06-16 16:34 云河: 那些是一部分拆迁的人,拿新房没钱补贴,放弃了,直接拿钱走人的
爆料有奖!关注昆山论坛抖音号,抖音搜索“昆山论坛”,或搜索抖音号:ksbbs
 
帅哥离线猫小刀
级别: 禁止发言
发帖
2630
昆币
520 枚
6楼 发表于: 06-14 , 来自:江苏省0==
用户被禁言,该主题自动屏蔽!
本帖评分记录
汪洋大海520 昆币 +1 -来自昆山论坛APP 06-16
1条评分昆币+1
爆料有奖!关注昆山论坛抖音号,抖音搜索“昆山论坛”,或搜索抖音号:ksbbs
 
帅哥离线亮剑中原
发帖
8306
昆币
10477 枚
7楼 发表于: 06-15 , 来自:江苏省0==
有些贵哟
爆料有奖!关注昆山论坛抖音号,抖音搜索“昆山论坛”,或搜索抖音号:ksbbs
 
发帖
1619
昆币
3033 枚
8楼 发表于: 06-15 , 来自:江苏省0==
起拍价比市场价都高,傻子才会去拍,怎么想的。
本帖评分记录
woshiabc 昆币 +1 -来自昆山论坛APP 06-16
汪洋大海520 昆币 +1 -来自昆山论坛APP 06-16
2条评分昆币+2
爆料有奖!关注昆山论坛抖音号,抖音搜索“昆山论坛”,或搜索抖音号:ksbbs
 
离线楚水山人
发帖
559
昆币
1006 枚
9楼 发表于: 06-15 , 来自:江苏省0==
里面有内幕的
爆料有奖!关注昆山论坛抖音号,抖音搜索“昆山论坛”,或搜索抖音号:ksbbs
 
快速回复
限76 字节
如果您在写长篇帖子又不马上发表,建议存为草稿
 
上一个 下一个